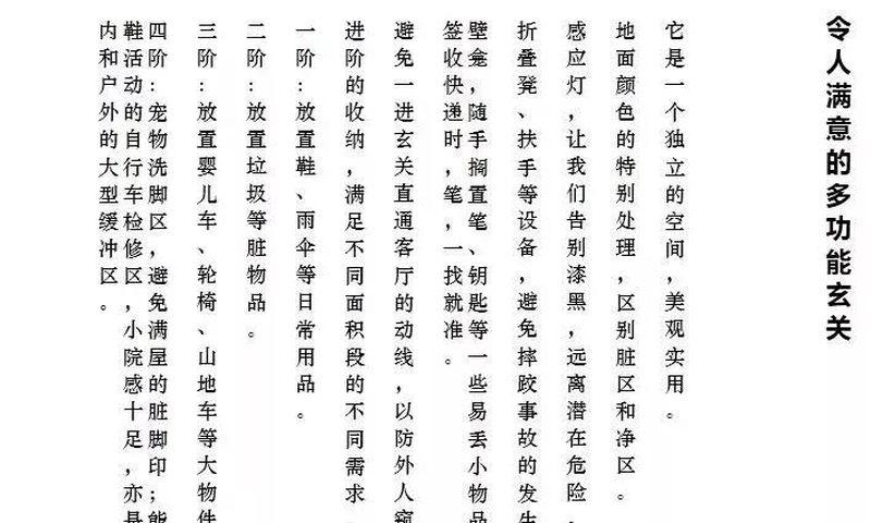
查看完整案例

收藏

下载
“幸福宅”
妈妈开心:能够轻松愉快做家务事!
爸爸高兴:能够陪伴孩子一天天的成长!
爷爷愉快:能够看见孙子活泼可爱!
奶奶喜欢:一家人和乐融融!
孩子笑嘻嘻:向小伙伴炫耀自己的家!
日常累积的点点滴滴汇成我们想要的幸福。
项目名称
康桥地产悦蓉园项目
项目位置
郑州经开区经开第十九大街和经南十二路交汇处
项目规模
总建筑面积:370000㎡
总户数:1832户
室内设计
五感纳得建筑设计有限公司
(建筑户型设计、销售样板间设计、不含软装)
施工单位
郑州龙旭装饰工程有限公司
开发单位
河南康广房地产有限公司
▼五感纳得设计和研发内容
1. 设计理念
2. 幸福八点整
3. 幸福点滴
此次项目始于优化户型设计。
许许多多设计的小体贴,
让人感动不已。
平常在家里什么也不做的先生,
开始会帮忙做些家事;
即使有点小小争执,
也能够很快言归于好;
大晴天时可以晒晒棉被,
晚上就能躺在暖烘烘的被窝里;
偶尔惊喜发现,
阳台里的花儿已经绽放了;
早上赶着出门的时段,
不必挤在卫生间里抢着刷牙洗脸……
客服
消息
收藏
下载
最近









































