查看完整案例

收藏

下载
*英文和日文版描述请拉至文章末查看,Please scroll down to see the English and Japanese descriptions.
开端
神奈川工科大学的 KAIT 工坊于 2008 年冬天竣工。同年秋天,这个多目的半户外广场的项目设计在工坊东侧的校园一角开始了。而首要的问题是:多目的性是什么?半户外性又是什么?
▼项目鸟瞰,aerial view ©JUNYA.ISHIGAMI+ASSOCIATES
多目的性
多目的性空间即所谓的非均质空间。大学中已经有很多多功能的空间,但是本项目追求的多目的性并非单单着眼于功能的多样性,还注重消磨时间这一过程。在学校中,学生们可以悠闲地无所事事的地方很少。而在这里用途是暧昧的,这样的多目的性才是极具魅力的。例如,坐在地板上一边交谈一边享受午餐,躺在地上思考、睡午觉,下雨天田径部在这里运动,在活动期间展示汽车和机器,在学园祭时设立临时的摊位组成集市等等。比起使用方式,这个项目更注重在这里如何度过了一段时光。如果注重如何使用空间,那么重点就在于实现目的。而如果注重如何在这里消磨时光,尽管会变得有些漫无目的,但重点是在于随着时间流逝的亲身体验上。
▼内部空间,interior view ©JUNYA.ISHIGAMI+ASSOCIATES
半户外性
考虑到该场所所需的半户外性时,在保持原有环境特质的情况下,单纯以躲避风雨和阳光为目的设置一个庇护的场所是不合适的。这是因为现有环境这一前提本身就存在问题,即校园内的室外空间基本都被校舍包围。这种缺乏风景多样性的环境非常人工化,人们很少能被自然现象的变化所吸引。如果着重于考虑如何在这里度过一段时间,那么追求半户外性时,应当保留一半现有环境的特质,再在另一半以建筑的要素进行补充,通过建筑的手法在这里创造出新的“外部”。将这个“外部”作为建筑来进行规划和设计,从而在建筑内部创造出动人的景致。
▼建筑和场地,structure and the site ©JUNYA.ISHIGAMI+ASSOCIATES
▼从户外望向室内,view to the internal space from outside ©JUNYA.ISHIGAMI+ASSOCIATES
地平线
风景是指根据季节和天气等自然现象而变化,并伴随着地形和时间的流逝而同时出现的环境。它有时是主观的体验,有时是一种客观的象征。这里的风景应当没有被建筑物包围的拘束感,是一个让人想长时间停留、心情舒畅,并且具有开放性和细腻变化的环境。在这里,人们想象自己仿佛在眺望地平线一般,随着时间的流逝,感受着壮阔的风景。天空和大地的巨大曲面在远处相连,形成一道分界线,让人感受到世界在无边无际地延伸。
▼天空和大地的巨大曲面在远处相连,the huge surfaces of both the sky and the earth meet in the distance ©JUNYA.ISHIGAMI+ASSOCIATES
建筑中的风景
首先,以设想从 KAIT 工坊向外眺望所见风景为开端。将平面扩大到整个场地范围,并利用现有的比校园地平面低约 2 米的高差,尽可能降低建筑物的高度,创造出一个与地面一体化的新的地面空间。
在构造上,由四壁吊起一块巨大的铁板来进行支撑。铁板慢慢地弯曲,形成了壮观的弯曲面,而空间内部没有任何柱子。同时,下凹的地面与曲面平行。参考在观察地球横截面时天空和大地之间的空间比例关系,天花板的高度相对于平面的尺寸尽量设计得低些。顶面像天空一样弯曲,地面像大地一样凹陷,它们在远处相连,建筑物内部就这样出现了地平线。人从地平线的一端出现,又消失在地平线的另一端。
▼与地面一体化的新的地面空间
a new floor space integrated with the ground ©JUNYA.ISHIGAMI+ASSOCIATES
屋顶设计了 59 个开口。压低的天花板抑制了光线的进入,因此只有开口的周围较亮,而其他地方保持着适当的暗度。从地球规模来考虑的话,这就像在晴天和阴天之处产生明暗的现象一般。浓淡不同的光斑随着时间和天气而变化。开口处没有玻璃,风雨可以进入室内。在雨天,开口落入内部的雨滴形成许多雨柱,形成了朦胧的风景。你会听见雨声在室内回荡,看着眼前的雨滴,自然的变化作为感官体验表现为了风景。
▼浓淡不同的光斑随着时间和天气而变化,light spots of varying intensity change with time and weather ©JUNYA.ISHIGAMI+ASSOCIATES
身体和土木
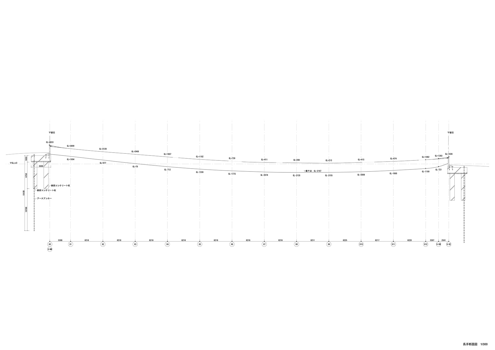
建筑构造的规模、技术、材料与土木工程相关。巨大的钢筋混凝土地梁基础上设置了 83 根桩子和 54 根地锚,地面的斜面高低差为 5 米左右,整体构造就像是将吊桥在平面上旋转了一周。建筑的尺度巨大,最大跨度为 90m 左右,由于铁板的热胀冷缩,天花板高度可能会产生 30cm 左右的变化,就像是天空的高度随着季节的变化而变化。与此同时,也考虑到了人体尺度:天花板高度约为 2.2~2.8m,与住宅的尺度相符;屋顶铁板厚度则为 12mm,符合家具的尺度。在屋顶铁板外周 3 米内,设置了作为压缩环的肋条,从而减轻张力对墙壁的负担。墙壁厚度为 250mm,是普通建筑的规格。地面铺上车道的透水性沥青,通过高压清洗将油分完全去除后再进行涂装。因此雨水能够被瞬间吸收,流入地下,使地面保持干燥,即使人的皮肤与之接触也不会感到不适。
▼施工阶段照片,construction process ©JUNYA.ISHIGAMI+ASSOCIATES
身体与环境
人与环境的关系应该尽可能的接近。正如人坐在大地上能够强烈地感受到自然,坐在地板上就会与建筑产生亲密感,本项目便希望以这样的方式让身体和环境建立直接的关系。
在现代建筑中,人类的动作以站立的状态为原点扩展出各种动作,例如坐着和躺下。身体与环境的距离多由椅子、床等家具来联结。而在这里,则将“坐”的状态设定为原点。
在室内,人们可以盘腿坐在斜坡上,也可以伸展肢体躺下或站立。丘陵般的斜面像巨大的床一样舒适,身体和环境直接相互关联,形成了一道完整的风景。风轻抚着肌肤,云朵让阳光时隐时现,太阳东升西落带来缤纷的色彩,雨制造出回音,雪的寂静赋予深度。身处时间的变化之中,在这里漫无目的地消磨时光、放松身心。
▼身体和环境直接相互关联,形成了一道完整的风景 ©JUNYA.ISHIGAMI+ASSOCIATES
the body and the environment are directly interconnected, forming a complete landscape
就像在城市中坡道会成为纪念碑一样,这个斜坡也会成为校园内具有象征性的场所。地平线在创造空间的同时也对其进行扩大,在这样的风景中,让人感觉到了若即若离的密度关系和远远近近的距离感,将人类的集聚融入到了环境之中,带来了空间的开放性和舒适度所赋予的自由。这一新的“外部”空间作为一个新的广场,成为了校园内人们的聚集地。
▼校园内的象征性场所,an iconic place in the campus ©JUNYA.ISHIGAMI+ASSOCIATES
▼场地平面图,site plan ©JUNYA.ISHIGAMI+ASSOCIATES
▼平面图,plans ©JUNYA.ISHIGAMI+ASSOCIATES
▼建筑平面图,floor plan ©JUNYA.ISHIGAMI+ASSOCIATES
▼剖面图列表,section list ©JUNYA.ISHIGAMI+ASSOCIATES
▼长剖面图,long section ©JUNYA.ISHIGAMI+ASSOCIATES
Plaza of Kanagawa Institute of Technology
2008-2020
Location:Kanagawa, Japan
Architect:JUNYA.ISHIGAMI+ASSOCIATES
Principal architect:Junya Ishigami
Project team:Taeko Abe, Shuma Tei, Motosuke Mandai, Sachie Morita, Toru Yamada, Masayuki Asami, Federico Lepre
Design and construction years:2008-2020
Client:Ikutoku Gakuen/Kanagawa Institute of Technology
Structural engineer:Jun Sato Structural Engineers
Constructor:Kajima Corporation
Surface area:4,109.78㎡
Photographs:JUNYA.ISHIGAMI+ASSOCIATES
Plaza of Kanagawa Institute of Technology by JUNYA.ISHIGAMI+ASSOCIATES
In 2008, junya.ishigami+associates completed the KAIT workshop at Kanagawa Institute of Technology. In the autumn of the same year, a new project was started on the east side of the workshop as a versatile semi-outdoor plaza for the campus. To begin the design, it was an essential task for the architects to consider: what are the definitions of both versatility and semi-outdoor space.
Versatility
A versatile space is supposed to be non-homogeneous. Since there have been various multi-functional spaces in the campus, the architect decided to concentrates on the ways of spending time. Here the program becomes more ambiguous, and also more attractive. For example, the plaza provides a space for students to sit on to talk and eat, or just lie down to take a rest. It can also be used by athletic teams as a sports field in rainy days, or as an event or exhibition space during school festivals. More than the way it is used, the project emphasizes on how time could be spent: when the emphasis is on how the space could be used, then focus is on achieving a specific purpose; Whereas if the emphasis is on how time could be spent, the focus is on the physical experience varying overtime — although this can somehow become aimless.
Semi-outdoor
Given the semi-outdoor mature of the site, it would be inappropriate to create a sheltered place purely for the purpose of protection from the elements while maintaining the qualities of the original environment. This is because the premise of the existing is inherently problematic. For example, the site is largely surrounded by school buildings, which leads to a built environment that lacks diversity of landscape. It is so artificial that one can rarely be attracted to the variability of nature. To consider on how to spend time there, the quality of semi-outdoor should be pursued by retaining the environmental characteristics of the existing site and complementing it with new built elements that consequently create a new “outside” within the place. This “outside” is planned and designed as a building, thus creating a dynamic and inspirational landscape from within.
Landscape within a building
The project began by envisaging the view from the KAIT workshop to the outside, and the plan was extended to the entire site area. By taking advantage of the 2-meter height difference between the plot and the campus above, the ceiling height was reduced as much as possible to create a new intervention that became part of the ground. The huge iron roof is suspended from the four walls that surround the plaza, creating a column-free space below. In the meantime, the recessed floor is parallel to the curve of the roof, and these two elements are connected at a distance to make the interior appear as a horizon. 59 openings are installed in the roof, illuminating the areas around them, while the rest remains suitably dark. On a terrestrial scale, this is similar to the phenomenon of light and darkness on a sunny and cloudy day: the intensity of the light varies with time and weather. There is no glass in the openings, allowing the elements to come though the space. On a rainy day, the rain drops enter from the apertures to create pillars of rain that contribute to a hazy atmosphere. The sound of the rain echos within the space, and the natural changes manifest as a sensory experience into the landscape.
*Japanese description:
始まり.
神奈川工科大学に KAIT 工房が 2008 年冬に完成し,同じ年の秋,東側に隣接する校庭の一角でこの計画が始まった.プログラムは多目的な半屋外の広場だ.多目的性とは何か,半屋外性とは何か.それらが最初の問いであった.
多目的性.
いわゆる均質な空間ではない.大学には多目的な用途の場所は既に多くあり,そのような機能上の多目的性ではなく,ここでは過ごし方の多様性が求められた.学生たちが,のんびりと過ごすための居場所が学内には少なかったからだ.用途の曖昧さが多く含まれ,それが魅力になる多目的性が必要であった.たとえば,床に座って談話やランチを楽しんだり,寝転びながら考えごとをしたり,昼寝をしたり,雨天時に運動部がストレッチをしたり,イベント時に車や機械を展示したり,学祭の時にお店などが並び市場のようになったりなど.「どのように使うか」よりも「どのように過ごすか」ということに重心がある,そういう場所である.使い方に重きがあると目的を果たすことが主眼になるけれど,過ごし方に重きが置かれる場合,緩やかな目的はあるものの,時間の経過を伴う身体経験に重点が置かれる.
半屋外性.
この場所に必要な半屋外性を考えた時,たとえば,既存の環境的特質はそのままで,単に雨や日射を避けるなどの目的で吹きさらしの場所を設けるようなことは適さない.前提となる既存の環境そのものに問題があるからだ.大学内の屋外空間は基本的に高い校舎に囲まれ,それらの間にある.そこはとても人工的で,風景としての多様性に乏しく,自然現象の変化に心を奪われる場面は少ない.どのように過ごすかを主眼に考えた場合,ここで求められるべき半屋外性とは,既存の環境的特質を半分残し,そこに半分建築的要素を加え,結果として,建築によって新しい「そと」をこの場所につくり出すことだと考えた.それは,「そと」を建築として計画し,建築の内側に,心に響く風景を出現させることである.
地平線.
風景とは,季節や天気などの自然現象によって変化し,地形と共に時間の経過を伴い,都度その場に現れる環境である.それは,ある時は主観的身体経験として,ある時は客観的象徴として現れる.ここに現れるべき風景は,建物に囲まれているような窮屈さがなく,長い時間その場所に留まりたくなるような,心地よくどこまでも広がる開放性と繊細な移ろいを伴う環境である.
ここでは,地平線を望むような壮大な広がりを時間と共に感じる風景を考えた.空と大地の巨大な湾曲面が遠くで結び付き,1 本の境界線をつくる風景である.地平線の向こうにどこまでも続く世界を感じる風景だ.
建築のなかの風景.
まず,KAIT 工房からの景色を考えた.平面は敷地いっぱいに広げ,他のキャンパスレベルより 2m ほど低い既存の高低差を生かして建物の高さをできるだけ抑え,地形と一体化する新しい地面となるようなヴォリュームを目指した.周囲の 4 つの壁から 1 枚の巨大な鉄板を吊り下げるようにして支える構造を考える.鉄板はゆったりと撓み壮大な湾曲した面がつくり出される.内部に柱はない.その湾曲面に平行するようなかたちで,窪んだ床面を計画する.地球の断面を見た時の空と大地の間にできる空間のプロポーションを参考にし,天井高は平面の大きさに対して,できるだけ低く設定する.撓んだ空のような天井面と,窪んだ大地のような床面が,湾曲して遠くで結び付き,建物の中に地平線が現れる.地平線の彼方から人が現れ,地平線の彼方に消えていく.屋根には 59 個の開口が計画される.低く抑えられた天井が光の回り込みを抑制し,開口の周囲のみが明るくなり,それ以外のところはほどよい暗さを保つ.地球規模で考えれば,晴れと曇りの場所で明暗が生まれるのと同様の現象だ.光の濃淡の空間的むらが時間や天気と共に変化していく.開口にはガラスはなく,風雨は室内に流れ込む.雨の日には,開口からの雨滴がたくさんの雨の柱を内部につくり,霞む風景が出現する.屋内に響く雨音と眼の前の雨粒を感じる.身体経験としての自然の変化が風景として現れる.
身体と土木.
構造のスケールも技術も材料も土木的である.巨大な鉄筋コンクリート地中梁基礎には杭が 83 本,アースアンカーが 54 本計画され,床の斜面の高低差は 5m ほど,構造も吊橋を 360 度回転させたような成り立ちである.最大スパンは 90m ほどで,鉄板の熱収縮で天井高が 30cm ほど変化する.季節によって空の高さが変わるかのようだ.メガストラクチャー的構造スケールである.しかしながら,同時に身体的スケールが共存するように考えた.天井高は 2.2〜2.8m ほどで住宅のスケールとし,屋根鉄板の厚さも 12mm で家具スケールとした.屋根鉄板の外周 3m の範囲には圧縮リングとしてのリブを計画し,壁への張力の負担を軽減し,壁の厚さを 250mm とし一般的な建築のスケールを維持している.床面には車道の舗装に使う透水性アスファルトを敷き詰め,高圧洗浄で油分を完全に取り去り塗装を施す.雨水は瞬時に吸収され床の下を流れ,床面はドライな状態が保たれる.人間の肌に接しても不快でないような状態にしている.
身体と環境.
人間と環境ができる限り近い関係になるように考えた.地面に座った時に自然を強く感じ,床に座った時に建築に親密さを覚えるような,身体と環境が直接的関係を築くようにしたい.現代建築における人間の動作は立っている状態を起点としてその延長で,座ったり寝転んだり,さまざまな動作が考えられる.その場合,身体と環境との距離を椅子やベッドなど家具が繋ぎ合わせることが多い.ここでは座っている状態を起点として計画する.室内は上足とし斜面の床に自由に座り,その延長で寝転んだり立ち上がったりできるようにする.巨大なベッドとも感じる心地のよい丘陵のような斜面で,身体と環境が直接関係し合い,一体的な風景となる.風が肌を撫で,雲が陽の移ろいを誘い,陽の動きが光を彩り,雨が響きをつくり,雪の静けさが奥行を与える.時間の変化の中に身を置き,緩やかな目的と共にゆったりと過ごす場所になる.また,都市の中で坂がモニュメントになるように,この斜面がキャンパスの象徴的な場所にもなる.地平線が,空間的分節と広がりを同時に生み出し,その風景の中で,集まっているのに離れているような,離れているのに一体感を感じるような,たくさんいるのに少ないような,少ないのにたくさんいるような,さまざまな距離感と密度が生み出され,人が集まることと環境に溶け込むことが同義になる.それは,開放性と快適さに自由を与えることである.キャンパス内にみんなが集う新しい「そと」を新しい広場としてつくり出す.(石上純也)
作品名:神奈川工科大学 KAIT 広場
設計:石上純也建築設計事務所
施工:
鹿島建設株式会社横浜支店
高砂熱学工業株式会社横浜支店
株式会社きんでん横浜支社
所在地:〒243-0292 神奈川県厚木市下荻野 1030
英文作品名:Plaza of Kanagawa Institute of Technology
architects:英文事務所名 JUNYA.ISHIGAMI+ASSOCIATES
設計
建築:石上純也建築設計事務所
構造:佐藤淳構造設計事務所
構造基本計画:小西泰孝建築構造設計
設備:高砂熱学工業株式会社横浜支店
電気:株式会社きんでん横浜支社
施工
鹿島建設株式会社横浜支店
高砂熱学工業株式会社横浜支店
株式会社きんでん横浜支社
敷地面積:129,335.04m2
建築面積:4,109.78m2
延床面積:1,376.42m2
階数:地上 1 階
構造:鉄骨造
工期:2019 年 4 月〜2020 年 12 月
客服
消息
收藏
下载
最近























