查看完整案例

收藏

下载
静安区光复路195号保护修缮
历·史·建·筑·保·护·设·计·院 / 新作
历史-更新-再生
光复路195号的更新,以“艺术+设计+生活方式”的复合业态定位,与周边的四行仓库、光复路127号等历史建筑形成错位联动,融入上海“一江一河”区域更新的宏大叙事。这也是上海城市精神的一种隐喻:尊重历史的厚度,拥抱创新的锐度,在奔涌的苏州河畔,书写永续生长的城市史诗。
建筑师说
吴欢瑜WU HUANYU项目经理建筑专业负责人
“我们修复的不仅是砖瓦木石,更是历史的记忆。愿我们的努力,让老建筑能延年益寿,更有尊严地活在当代生活中;让这些无声的史书继续诉说,保留一代人的共同情感,这便是从事修缮工作最深的慰藉。”
吴欢瑜,就读于东南大学、意大利米兰理工大学建筑系,从事上海历史建筑研究与保护工作12余年,历保院设计四部总监助理,一级注册建筑师,高级工程师。欢工,宜兴人,巨蟹座,I人。WMLS五迷老师,传统文化爱好者,最近爱吃大辣菜,又菜又爱吃。机智过人的技术流学霸,对项目负责有耐心,可以兜底的可靠人士。
PART 01民族史书光复路
光复路195号位于上海市静安区苏州河北岸,其所在区域原为闸北区。因地处吴淞江(苏州河)老闸、新闸以北而得名,是近代民族工业运动、新文化运动等的发源地。清光绪二十六至三十年(1900~1904年),今光复路筑东段,因其位于苏州河北侧命名北苏州路。民国元年至14年(1912~1925年)筑西段,为纪念光复运动,命名光复路。民国14年东段改名东光复路,后统称光复路。
光复路一带依托苏州河水运系统,曾为上海重要的工业及仓储聚集地:原江苏省农民银行上海分行仓库、金城银行仓库、中国银行仓库、四行(盐业、金城、中南、大陆银行)仓库、怡和打包厂、福新面粉厂等均选址于此。
△ 图左的光复路195号,与图右光复路127号Fotografisca影像艺术中心、图右远处的四行仓库抗战纪念馆,同为百联旗下沿苏州河文化带的组成部分。
PART 02中资银行与第一代中国建筑师双向奔赴
光复路195号建于1933年,建成时名为“交通银行仓库”,建筑师为庄俊,营造厂为新森泰,登报所列费用为21万元,实际建筑工程耗资约32万元,初始使用的钢窗为中国铜铁工厂制造。
△ 交通银行仓库建成时的报道,引自1934年《交行通信》
建筑师庄俊,是近代中国第一位留学美国学习建筑学科的建筑师,1914年毕业于伊利诺伊大学,也是第一代中国建筑师的代表人物。1925年,他在上海创办庄俊建筑师事务所,曾于交通部华北建筑工程公司、中央设计院、华东工业设计院任总工程师。庄俊开立事务所期间,受交通银行委托项目较多,主持完成的项目包括济南交通银行、哈尔滨交通银行、大连交通银行、徐州交通银行、青岛交通银行及其仓库等。庄俊对不同建筑风格运用自如,从古典主义、装饰艺术至现代主义均有极优秀的作品。
△ 建筑师庄俊的生平简介及代表作,信息引自《近代哲匠录》
光复路195号仓库建成后,交通银行提起申请,在仓库前的苏州河岸增设一处码头。1937年以前,该仓库主要存储粮食及五金、棉花等基础物资,是当时交通银行规模较大、配备较高的仓库。
PART 03从战争据点到文化载体
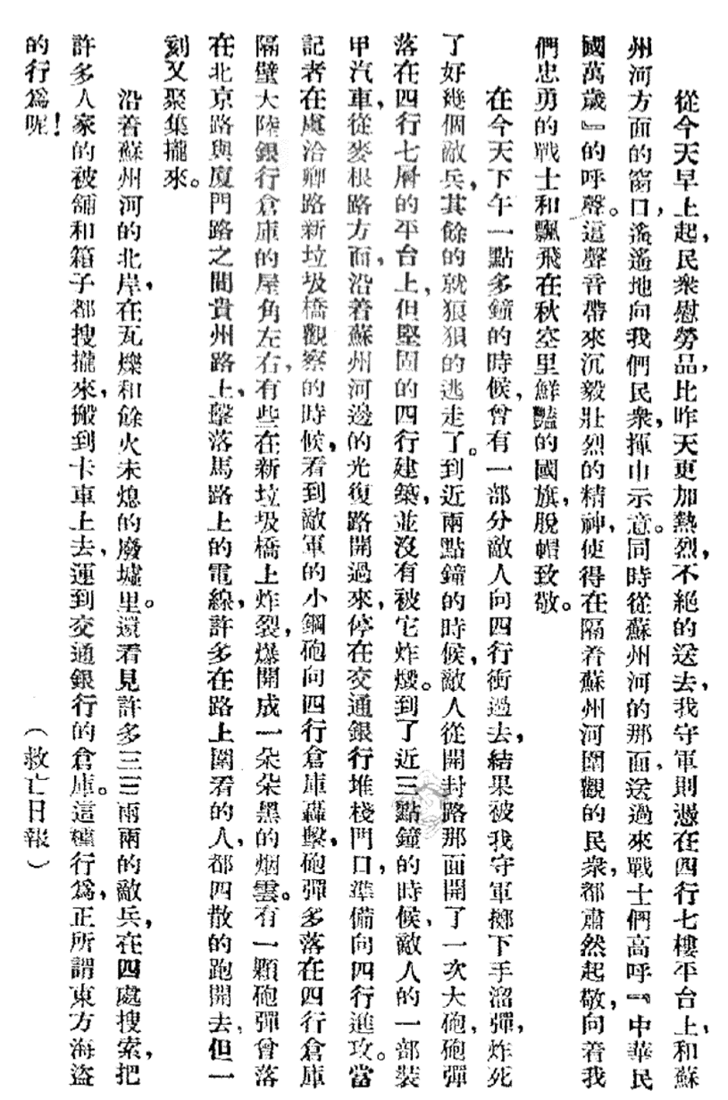
1937年八一三事变后,交通银行仓库被日军占领,成为其向四行仓库进攻的据点。因其为现代结构的大型仓库,空间划分便利,1938年起,日军多个机构进驻,在周边进行演练。或因此,对比苏州河北岸其它受到严重破坏的工业建筑,抗战期间交通银行仓库并未受到太多破坏,基本保存完好。
△ 《救亡日报》报道:战争中的交通银行
△ 美联社拍摄,1937年战火中的交通银行仓库
△ 淞沪会战中的光复路195号交通银行仓库影像
△ 日军二十一支队本部影集中的光复路195号大门
建国后,该建筑权属几经周折,历经中国人民银行上海分行、上海市商业局、上海商业储运联营公司(在此阶段改名为四行仓库光二分库)接管,后由百联集团接手。1999年,建筑师刘继东租下仓库部分区域,将其改为“创意仓库”,该仓库吸引了一批独立设计工作室进驻。改造后,2015年该建筑被列入第五批上海市优秀历史建筑名单。
△ 2000年光复路195号改造成“创意仓库”后的照片
△ 2023年光复路195号本轮修缮前照片
PART 04实用典雅的art-deco风格杰作
建筑整体呈现简洁端庄的Art-Deco风格,与当时国际潮流接轨。建筑沿苏州河展开的建筑主要立面——南立面呈对称分布,主体为灰色水刷石(灰水泥、白色石子),装饰以竖向几何线脚为主,入口处有特殊线脚装饰、几何形山花予以强调。其风格与周边四行仓库等工业仓储建筑不同,与外滩交通银行大楼(外滩14号,今总工会大楼)具有一定的相似性。
△ 基于历史照片拼合的南立面初始状态
△ 本轮修缮前的南立面
△ 本轮修缮的南立面效果图
本轮修缮中的南立面方案,在延续Art-deco风格的基础上,恢复首层立面格局并做适应商业展示需求的可识别处理,梳理外挂于外立面的冗杂管线及设备外机,以保护为先,活化为本,融合为要。对简洁实用的东、西、北立面,亦加以整理修复。
△ 修缮完成后的南立面主入口
△ 东立面修缮前后对比
△ 北立面修缮前后对比
△ 底层中央车道修缮前后,底层中部原为车道,车辆可穿过主体建筑,直达北侧空地。室内原有无梁楼盖体系保存较为完整,是二十世纪三十年代的同类工业建筑结构的典型实例。无梁楼盖结构体系可最大化利用建筑层高,满足其堆放货物的功能需求。本轮修缮设计中,通过功能策划与结构计算、结构加固设计紧密合作,避免了对无梁楼盖区域楼板和柱身的结构的扩大截面加固做法,结合主要使用空间的裸顶设计和机电管线精密化排布,呈现了无梁楼盖体系原本的结构之美。
△ 无梁楼盖区域修缮前后
作为仓储建筑,室内仍有多处历史铁门留存。现存历史防火铁门多为由Mather&Platt制造,该公司最早于1852年成立。本建筑中的防火门为其于1910年迁入曼切斯特Newton Heath厂址之后所产,该公司的历史广告中,宣传的防火门与现存铁门形式相同。
△ 楼内Mather&Platt历史铁门,及其1949年刊登的生产商广告
光复路195号建筑内的缓步楼梯、电梯间布局及其它现存实物反映了当时工业仓储建筑的技术需求,亦具有较高的科学技术价值。
PART 05历史元素的系统性激活
因使用年限较久且使用方更迭频繁,光复路195号的室内外存在较大规模的改造,保存状况不一。外立面存在多处门窗改动、搭建加建,室内普遍存在后期加建的隔墙、夹层等。经过历史原始布局研读和功能策划排布,建筑底层空间以餐饮、公共、设备功能为主,主要流线为从光复路至中央通廊“光路”的流线,东侧局部打开封闭界面,向双拥公园展示更积极的空间渗透。
动线策划
△ 首层商业部分的设计动线,及“光路”两侧店铺的呈现效果
△ 标准办公层的设计动线,及办公共享空间的呈现效果
立面修缮
南立面底层原为水刷石饰面,修缮前已非历史原貌,店铺门面破墙较多;二至四层墙面可见历史清扫口及旗杆位。由于苏州河沿岸地面多次垫高,现状立面比例比之于历史原状已发生变化。本次修缮中,南立面底层界面根据历史样式进行现代转译,统一为符合历史风貌保护要求的黑色落地金属窗。该界面与东侧已落成的光复路127号共同形成沿苏州河畔完整、连续的风貌,可提升苏州河沿线的重要城市界面形象。
△ 修缮后的光复路195号,与苏州河游船的四行仓库站码头相映生辉
北立面、西立面、东立面历史原状为节省造价的黄沙水泥饰面,修缮前为后做的浅灰色涂料面层,窗户多为后期替换的铝合金窗、钢窗等,立面洞口普遍为后期所加,布局无规律。本次修缮中,对窗扇进行整治与替换,修补后开洞口,复原次要立面材质为接近黄砂水泥历史样式的装饰面层,并结合全楼机电更新工程,取消外部现有的杂乱空调机位。
△ 修缮后的北立面及北侧庭院,后续周边商业地块建成后,将与其贯通联动,营造舒适步行氛围。建筑使用过程中,落水管和雨水斗多次更换,现场勘察中发现五层仍存一处历史原物。根据现存原物,采取原材料原工艺翻制历史样式的雨水斗,应用于外部立面,仍承担排水功能,恢复建筑的外部界面特征。
△ 根据历史原物统一翻制的雨水斗,与立面隐蔽设置的机电线缆结合设置。屋面北侧主要用于集中设置机房、设备,沿河界面清理去除后加覆土、杂乱临时搭建等之后,呈现出迎接苏州河落日的最美滨河露台。
△ 屋顶拆除大量冗余搭建并规整机电区域后,将最优景观面预留为露台,为未来多样化的活动场景留白。
△ 顶层原室内设备间的机电设备集约化设置,挤压出多功能空间供文化活动使用。室内空间
建筑楼梯为具有工业建筑特征的缓步楼梯,混凝土框架结构、混凝土面层。楼梯总体布局规整,楼梯间存在局部改造,中间平台亦加建了卫生间。综合考虑楼梯间历史特征、改造历程、现状及未来使用需求,修缮设计中保留与该楼梯间风貌相符且紧密连接的部分弧形扶手、金属防滑条(护角)、锚固件,拆除底层加建的钢梯与楼梯两侧的后加平台、装饰、栏杆,恢复并强化原楼梯空间特征。
△ 修缮前后的缓步楼梯间,结合其历史特征,恢复并强化了楼梯间疏朗、通透的工业感氛围。修缮设计中,散落各处的历史铁门仅作除锈处理,保留原有生产铭牌等历史信息,安置于楼内公共区域。
PART 06从河畔记忆到文化现场
光复路195号的修缮与重生,不仅是一次建筑物理空间的修复,更是一场跨越时空的城市文化对话。作为苏州河工业遗产带的标志性节点,它从交通银行仓库,历经战火洗礼、产权更迭与功能蜕变,成为苏州河岸文化产业的一环,生动诠释了历史建筑保护的核心意义——在敬畏历史基因的基础上,激活历史空间与现代生活的共生关系。
△ 光复路195号启用时,楼内举办的《今日之城·百联资控城市更新实践》主题展览
结语
历史建筑的存续,是城市文明韧性的见证。光复路195号的无梁楼盖、Art-Deco立面、缓步楼梯等元素,承载了上海近代民族工业的荣光与技术智慧;而日军占领期的意外存留、建国后的国有化流转,乃至创意仓库时期的先锋探索,则叠加了社会变革的复杂叙事。本次修缮工程中“系统性激活”的理念,正是对这些历史层次的精妙回应:保护绝非凝固过往,而是让历史场所在当下焕发新生 。
建筑信息
建筑原名称:交通银行仓库
始建时间:1933年
保护级别:上海市优秀历史建筑(第五批)
项目信息
项目名称:光复路195号修缮项目
项目类型:历史建筑修缮
项目地点:上海市静安区光复路195号
设计时间:2024年1月—2024年8月
施工时间:2024年9月—2025年8月
建筑面积:9556m²
建设单位:上海百联资产控股有限公司
设计单位:华东建筑设计研究院有限公司历史建筑保护设计院
景观方案设计:上海或然景观设计咨询有限公司
泛光照明设计:上海倘思照明设计有限公司
室内施工图设计:上海现代建筑装饰环境设计研究院有限公司
标识设计:CASE PAVILION 案亭建筑事务所
施工单位:上海建筑装饰(集团)有限公司
监理单位:上海浦东新区建设监理有限公司
团队成员
设计总负责人:张颖
建筑设计:吴欢瑜、杨冉明、程奂仑
室内设计:程奂仑、吴欢瑜
结构设计:沈忠贤、谢磊磊
机电设计:王宇佳、陈泓远、吕亮、陈晓丹、赵丽花
建筑摄影:历保院、SFAP
客服
消息
收藏
下载
最近





















































